
【专业视听网报道】:四年一度的欧洲杯正在如火如荼进行,作为仅次于世界杯的足球豪门盛宴,球迷们自然不会错过这个足球“节日”,观看比赛的方式多种多样,作为资深球…
2016/06/17
【专业视听网报道】:得益于信息化潮流的推进,2016年,信息化教育已经成为教育行业的主流趋势,先进的信息化教学装备为广大师生带来一流的学习环境,并有效提升了教学…
2016/06/17
【专业视听网报道】:随着很多全新技术的涌现,人们越来越需要用3D方法来表示现实世界中的物体。特别是机器视觉和机器人技术,它们都得益于精确和自适应的3D捕捉功能。…
2016/06/17
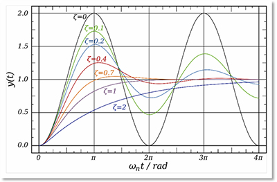
作者:易科国际 高峰【专业视听网报道】:功放的阻尼系数是功放的一个相对比较重要的指标,它是相对值,说它是相对值,因为它与负载的阻抗息息相关,严格意义上它还与频…
2016/06/16
【专业视听网报道】:我叫赵起超,是个摄影器材控,大家都喜欢叫我火龙锅,我却觉得超级玩家更贴切。2004年接触摄影,一开始只是跟风尝鲜,后来就慢慢喜欢上了,也开始…
2016/06/15
【专业视听网报道】:作为早期积极构建4K产业链信号处理环节的先驱者,ATER因超高清信号处理技术获得多方关注,与整条产业链一起健康发展的过程中不断完善自身4K产品链…
2016/06/13